Формулы сокращенного умножения

Ключевые слова: квадрат суммы, квадрат разности, куб суммы, куб разности, разность квадратов, сумма кубов, разность кубов

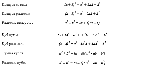
  • Квадрат суммы двух величин равен квадрату первой плюс удвоенное произведение первой на вторую плюс квадрат второй. (a+b)2=a2+2ab+b2
  • Квадрат разности двух величин равен квадрату первой минус удвоенное произведение первой на вторую плюс квадрат второй. (a-b)2=a2-2ab+b2
  • Произведение суммы двух величин на их разность равно разности их квадратов. (a+b)(a-b)=a2-b2
  • Куб суммы двух величин равен кубу первой плюс утроенное произведение квадрата первой на вторую плюс утроенное произведение первой на квадрат второй плюс куб второй. (a+b)3=a3+3a2b+3ab2+b3
  • Куб разности двух величин равен кубу первой минус утроенное произведение квадрата первой на вторую плюс утроенное произведение первой на квадрат второй минус куб второй. (a-b)3=a3-3a2b+3ab2-b3
  • Произведение суммы двух величин на неполный квадрат разности равно сумме их кубов. ( a+b)(a2-ab+b2)=a3+b3
  • Произведение разности двух величин на неполный квадрат суммы равно разности их кубов. (a-b)(a2+ab+b2)=a3- b3

Очень часто приведение многочлена к стандартному виду можно осуществить путём применения формул сокращённого умножения . Все они доказываются непосредственным раскрытием скобок и приведением подобных слагаемых. Формулы сокращённого умножения нужно знать наизусть:

Пример. Докажите формулу a 3 + b 3 = ( a + b )( a 2 ab + b 2 ).

Решение. Имеем ( a + b )( a 2 ab + b 2 ) = a 3 a 2 b + ab 2 + ba 2 ab 2 b 3. Приводя подобные слагаемые, мы видим, что ( a + b )( a 2 ab + b 2 ) = a 3 + b 3, что и доказывает нужную формулу.

Пример. Упростите выражение (2 x 3 – 5 z )(2 x 3 + 5 z ).

Решение. Воспользуемся формулой разности квадратов, получим: (2 x 3 – 5 z )(2 x 3 + 5 z ) = (2 x 3 ) 2 – (5 z ) 2 = 4 x 6 – 25 z 2.

Ответ. 4 x 6 – 25 z 2.


См. также:
Квадратное уравнение, Степень